如何提高HCV相关肝细胞癌(HCC)患者的生存率?|研究速递
发布日期:2020-06-04 浏览次数:

据估计,丙型肝炎病毒(HCV)影响着全球超7千万人群,也是全球慢性肝病和肝细胞癌(HCC)的主要原因之一。根据2017年的一份报告,尽管治疗方案有所进步,但HCC仍是少数几个发病率不断上升的癌症之一,其5年生存率只有18.1%。预防HCC被认为是扭转这一增长趋势的最有效方法。
全球疾病负担(GBD)肝癌合作组织指出,大多数肝癌病例可以通过各种疗法来预防,包括针对病毒相关HCC的抗病毒治疗。对于HCV而言,不联合干扰素的直接作用抗病毒药物(DAA)抗HCV作用高效(治愈率>80-90%)且耐受性良好,甚至对包括HCC在内的晚期肝病患者也是如此。已经证明,DAA可以降低HCC风险,且不会增加HCC复发的风险。
此外,已有研究发现,用DAA疗法治愈丙型肝炎与提高患者生存率相关,包括那些患有晚期疾病如肝硬化的患者。但在亚洲和西方国家,使用DAA获得持续病毒学应答(SVR)后,HCV相关HCC患者的生存数据十分有限。
研究简介
美国斯坦福大学医学中心Hansen Dang等发表在Hepatology 杂志的一项研究中,研究人员发现,无干扰素DAA治疗后达到SVR与东西方HCV相关HCC患者的生存率增加相关。
在该研究中,研究人员使用2005-2017年来自美国两个中心和六个亚洲中心的数据,将1676例HCV单纯感染相关HCC患者分为未经丙肝治疗的患者(未经治疗组)和经DAA治疗后达到SVR的患者(SVR组),并通过倾向评分匹配(PSM)进行匹配;将丙型肝炎治疗状态作为随时间变化的协变量用于多变量Cox回归分析,以确定死亡风险和进行界标分析以避免恒定时间偏倚。
相关定义
HCV感染诊断:HCV RNA PCR阳性或HCV抗体阳性、抗HCV治疗史或医生记录的HCV感染史来确定。
肝硬化诊断:由医生记录、实验室记录、放射学报告、内镜检查或病理学报告中出现的肝纤维化4期、结节状阴影、腹水、脑病、脾肿大、食管静脉曲张、其他静脉曲张或血小板计数<120 000/mL来确定。
HCC诊断:根据AASLD诊断指南,通过放射学或病理学报告确认。
SVR定义为治疗结束后12周,HCV RNA检测不到(检测下限为25 IU/mL)。
研究结果
该研究中,未经治疗组受试者1 239例,SVR组受试者437例。两组受试者的基线人口统计学特征无显著差异。从HCC诊断到DAA治疗的中位时间间隔是18个月(范围:6-43个月)。
经PSM后,321对匹配患者的背景风险得到平衡(P均>0.05)。平均年龄为66岁,60%以上为男性。大多数受试者伴有肝硬化(80%),处于Child-Pugh A级(68%),并接受了治疗(70%)。
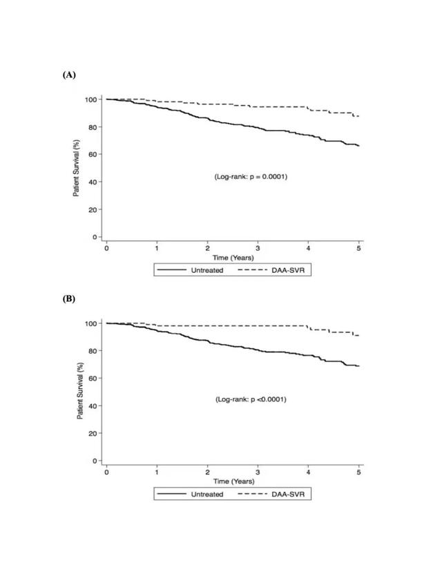
HCV治疗开始后的时变调整后,与未经治疗的患者相比,SVR患者的5年总生存率显著提高(87.78% vs. 66.05%,P<0.001)。
多变量Cox回归分析显示,SVR与5年全因死亡率降低63%独立相关(HR=0.37;95%CI:0.16-0.83,P=0.016),且与肝脏相关5年死亡风险降低66%独立相关(HR=0.34;95%CI:0.13-0.88,P=0.026)。排除肝移植患者后趋势相似。90、180和360天的界标分析获得了一致的结果(HR范围为0.22-0.44;P均<0.05)。

图1 经倾向评分匹配后,未经治疗组和SVR组受试者5年生存状况比较
(A为全因死亡率比较;B为肝相关死亡率比较)
结论
综上,本研究显示,与未接受抗HCV治疗的患者相比,接受DAAs治疗后获得的SVR与HCV相关HCC患者的总体生存率提高相关。根据结论,对于HCV相关HCC患者,作者建议在治疗HCC的同时,考虑采用不联合干扰素的DAAs抗病毒治疗。。
印度肿瘤药房(India Pharmacy)是印度新德里肿瘤药房信息咨询服务平台,旨在为患者提供各类进口原研 进口仿制 最新研制等医药信息咨询 跨境医药电商直邮服务,让患者轻松获取全球最佳药品有更多选择,基本涵盖新特药 抗癌药 靶向药 丙肝 乙肝 高血压 糖尿病 痛风 等药品,欢迎咨询!官方微信 yigou120
